Utility pedals - what are they?

First, they do not alter the characteristics of the instrument signal. Therefore, they are not “effects”.

Second, they act like “glue” to the effect pedals installed on a pedal board by providing control of signal flow through splitting, summing, routing, buffering, and interacting with effect operation..

Okay? More words, please.

One of the recent trends is to run parallel effects instead of serially. This can be easily done by splitting the instrument signal, applying those “splits” to separate effects, and then combining (summing) those effect outputs back together. The individual effect characteristics can be adjusted to taste without undue interaction with the other effects.

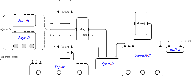
Real-World Example

See below a possible Utility Pedal scenario:

Description

The instrument signal enters the buffer. From there, it’s routed to the switcher that provides up to three possible paths. One path is to a tuner, another path is to a boost pedal, and the remaining path is to a splitter. One splitter output is to a distortion pedal, another output is to a delay pedal. In this case, these two effects are being run in parallel. The outputs of the three effect pedals can then be combined with a summer or mixer before connecting to an amplifier or mixing console. The distortion and delay pedals have their functionality controlled by two outputs from the switch controller. The remaining controller output is used to select an amplifier’s channel.